-
-
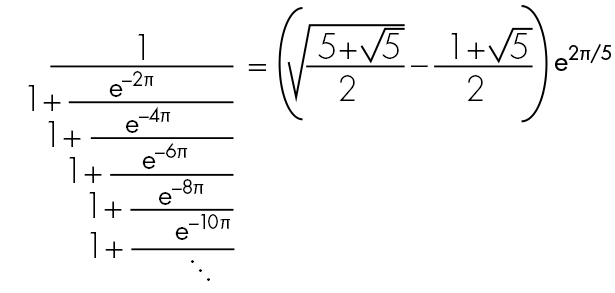
یک برابری دیوانهوار از رامانوجان
فکر نکنم اینو کسی بجز رامانوجان بتونه اثبات کنه ولی اگر اثبات ریاضی این برابری رو پیدا کردید در قسمت نظرات به اشتراک بگذارید.
فکر نکنم اینو کسی بجز رامانوجان بتونه اثبات کنه ولی اگر اثبات ریاضی این برابری رو پیدا کردید در قسمت نظرات به اشتراک بگذارید.