ورود
ثبت نام
صفحه نخست
مقررات درباره
تور آموزشی
تصویر
لینک
متن
موضوع
همه پستها
همه موضوعات
8 سال پیش
afshin
ریاضیات
darbare.com
بررسی
گزارش شده
تایید شده
رد شده
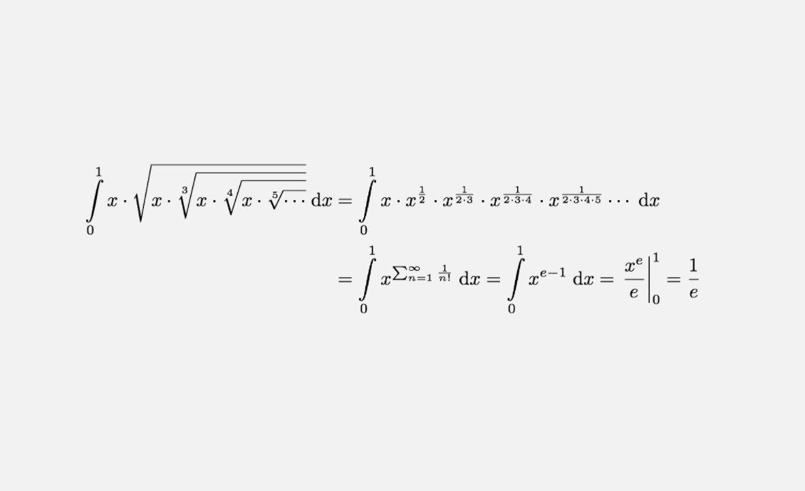
یک انتگرال تو در تو
نظر بدهید
32
بررسی
گزارش شده
تایید شده
رد شده
پاسخ دهید