ورود
ثبت نام
صفحه نخست
مقررات درباره
تور آموزشی
تصویر
لینک
متن
موضوع
همه پستها
همه موضوعات
7 سال پیش
afshin
ریاضیات
darbare.com
بررسی
گزارش شده
تایید شده
رد شده
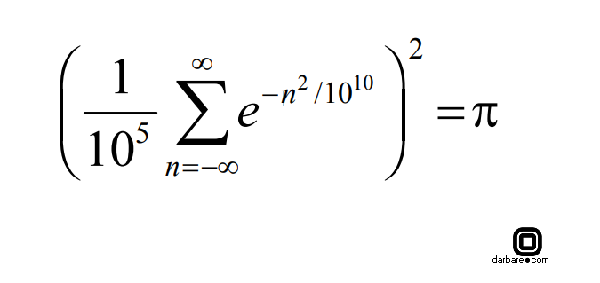
یک برابری نادرست که عدد پی را تا چهل و دو میلیارد رقم بعد از اعشار بدرستی بدست میدهد
نظر بدهید
26
اثبات این ادعا را در
این مقاله
ببینید.
بررسی
گزارش شده
تایید شده
رد شده
پاسخ دهید