ورود
ثبت نام
صفحه نخست
مقررات درباره
تور آموزشی
تصویر
لینک
متن
موضوع
همه پستها
همه موضوعات
7 سال پیش
afshin
ریاضیات
darbare.com
بررسی
گزارش شده
تایید شده
رد شده
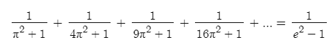
یک برابری شگفت انگیز بین عدد پی و e
1
نظر
19
بررسی
گزارش شده
تایید شده
رد شده
پاسخ دهید